Group Differences Research Design

Methodology: Paired t-test
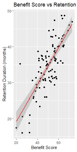
Regression

Methodology: Simple Linear Regression
Structural Equation Modeling

Methodology: Structural Equation Modeling
Methodology: Paired t-test
Methodology: Simple Linear Regression
Methodology: Structural Equation Modeling